VF=7 m/s; x=0 m; s=17.5 m

Tomaremos como eje X el eje horizontal (positivo hacia la derecha) y como eje Y el eje vertical (positivo hacia arriba). Como las cuerdas son inextensibles, los dos bloques tendrán la misma aceleración a, el bloque m vertical y el carrito M horizontal.

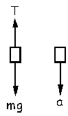
Aislamos en primer lugar el bloque de masa m, para el cual, aplicando la segunda ley de Newton:

ΣFY=ma ⇒ mg-T=ma ⇒ T=mg-ma

Ahora aislamos también el carrito de masa M (ver gráfico parte inferior). Mediante la segunda ley de Newton:

ΣFX=Ma ⇒ T=Ma

Sustituimos la tensión por la expresión que hemos obtenido para ella a partir del cuerpo m:

T=Ma ⇒ mg-ma=Ma ⇒ mg=(M+m)a

Hemos determinado ya la aceleración, que es horizontal y hacia la derecha.

La velocidad al cabo de 5 s será, teniendo en cuenta que el movimiento es rectilíneo uniformemente acelerado:

vF=v0+at=-7+2.8 · 5=7 m/s

vF=7 m/s

La velocidad del carrito es la misma que la inicial pero de sentido contrario.

La posición al cabo de 5 s:

x=0 m

El carrito se encuentra en la misma posición inicial. Lo que ha ocurrido es que el carrito se desplaza hacia la izquierda con movimiento uniformemente decelerado, y su velocidad va disminuyendo hasta que se detiene momentáneamente e invierte su sentido de movimiento. Veamos en qué punto se detiene el carrito:

vF=v0+at ⇒

El carrito se detiene momentáneamente a los 2.5 s de iniciado el movimiento. En ese instante la posición será:

El carrito se desplaza 8.75 m hacia la izquierda, y después vuelve hasta la posición inicial, es decir, se desplaza otros 8.75 m hacia la derecha. Su desplazamiento será entonces:

s=8.75+8.75=17.5 m

s=17.5 m